|
建筑给水排水设计标准 GB50015-2019:水的加热和贮存时间:2023-11-21
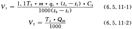
6.5 水的加热和贮存6.5.1 水加热设备应根据使用特点、耗热量、热源、维护管理及卫生防菌等因素选择,并应符合下列规定: ??? 1 热效率高,换热效果好,节能,节省设备用房; ??? 2 生活热水侧阻力损失小,有利于整个系统冷、热水压力的平衡; ??? 3 设备应留有人孔等方便维护检修的装置,并应按本标准第6.8.9条、第6.8.10条配置控温、泄压等安全阀件。 6.5.2 选用水加热设备尚应遵循下列原则: ??? 1 当采用自备热源时,应根据冷水水质总硬度大小、供水温度等采用直接供应热水或间接供应热水的燃油(气)热水机组; ??? 2 当采用蒸汽、高温水为热媒时,应结合用水的均匀性、水质要求、热媒的供应能力、系统对冷热水压力平衡稳定的要求及设备所带温控安全装置的灵敏度、可靠性等,经综合技术经济比较后选择间接水加热设备; ??? 3 当采用电能作热源时,其水加热设备应采取保护电热元件的措施; ??? 4 采用太阳能作热源的水加热设备选择应按本标准第6.6.5条第6款确定; ??? 5 采用热泵作热源的水加热设备选择应按本标准第6.6.7条第3款确定。 6.5.3 医院集中热水供应系统的热源机组及水加热设备不得少于2台,其他建筑的热水供应系统的水加热设备不宜少于2台,当一台检修时,其余各台的总供热能力不得小于设计小时供热量的60%。 6.5.4 医院建筑应采用无冷温水滞水区的水加热设备。 6.5.5 局部热水供应设备应符合下列规定: ??? 1 选用设备应综合考虑热源条件、建筑物性质、安装位置、安全要求及设备性能特点等因素; ??? 2 当供给2个及2个以上用水器具同时使用时,宜采用带有贮热调节容积的热水器; ??? 3 当以太阳能作热源时,应设辅助热源; ??? 4 热水器不应安装在下列位置: ??????? 1)易燃物堆放处; ??????? 2)对燃气管、表或电气设备有安全隐患处; ??????? 3)腐蚀性气体和灰尘污染处。 6.5.6 燃气热水器、电热水器必须带有保证使用安全的装置。严禁在浴室内安装直接排气式燃气热水器等在使用空间内积聚有害气体的加热设备。 6.5.7 水加热器的加热面积应按下式计算: ? ??? 式中:Fjr——水加热器的加热面积(㎡);![]() ? ? ? ? ? ? ? Qg——设计小时供热量(kJ/h); ? ? ? ? ? ? ? K——传热系数kJ/(㎡·℃·h); ? ? ? ? ? ? ? ε——水垢和热媒分布不均匀影响传热效率的系数,采用0.6~0.8; ? ? ? ? ? ? ? △tj——热媒与被加热水的计算温度差(℃),按本标准第6.5.8条的规定确定。 6.5.8 水加热器热媒与被加热水的计算温度差应按下列公式计算: ??? 1 导流型容积式水加热器、半容积式水加热器: ![]() ? ? ? ? ? ? ? tc、tz——被加热水的初温和终温(℃)。 ??? 2 快速式水加热器、半即热式水加热器: ![]() ? ? ? ? ? ? ? △tmin——热媒与被加热水在水加热器另一端的最小温度差(℃)。 6.5.9 热媒的计算温度应符合下列规定: ??? 1 热媒为饱和蒸汽时的热媒初温、终温的计算: ??????? 1)热媒的初温tmc:当热媒为压力大于70kPa的饱和蒸汽时,tmc应按饱和蒸汽温度计算;压力小于或等于70kPa时,tmc应按100℃计算; ??????? 2)热媒的终温tmz:应由经热工性能测定的产品提供,可按 tmz=50℃~90℃。 ??? 2 热媒为热水时,热媒的初温应按热媒供水的最低温度计算;热媒的终温应由经热工性能测定的产品提供;当热媒初温tmc=70℃~100℃时,可按终温tmz=50℃~80℃计算。 ??? 3 热媒为热力管网的热水时,热媒的计算温度应按热力管网供回水的最低温度计算。 6.5.10 导流型容积式水加热器或加热水箱(罐)等的容积附加系数应符合下列规定: ??? 1 导流型容积式水加热器、贮热水箱(罐)的计算容积的附加系数应按本标准式(6.4. 3-1)中的有效贮热容积系数η计算; ??? 2 当采用半容积式水加热器、带有强制罐内水循环水泵的水加热器或贮热水箱(罐)时,其计算容积可不附加。 6.5.11 水加热设施贮热量应符合下列规定: ??? 1 内置加热盘管的加热水箱、导流型容积式水加热器、半容积式水加热器的贮热量应符合表6.5.11的规定。 ![]() ? ? ? ? ? ?2 表中Qh为设计小时耗热量(kJ/h)。 ??? 2 半即热式、快速式水加热器,当热媒按设计秒流量供应且有完善可靠的温度自动控制及安全装置时,可不设贮热水罐;当其不具备上述条件时,应设贮热水罐;贮热量宜根据热媒供应情况按导流型容积式水加热器或半容积式水加热器确定。 ??? 3 太阳能热水供应系统的水加热器、集热水箱(罐)的有效容积可按本标准式(6.6.5-1)、式(6.6.5-2)计算确定,水源、空气源热泵热水供应系统的贮热水箱(罐)的有效容积可按本标准式(6.6.7-2)计算确定。 ??? 4 集中生活热水供应系统利用低谷电制备生活热水时,其贮热水箱总容积、电热机组功率应符合下列规定: ??????? 1)采用高温贮热水箱贮热、低温供热水箱供热的直接供应热水系统时,其热水箱总容积应分别按下列公式计算: ![]() ? ? ? ? ? ? ? V2——低温(供水温度,tγ=60℃)供热水箱总容积(m3); ? ? ? ? ? ? ? 1.1——总容积与有效贮水容积之比值; ? ? ? ? ? ? ? T2——高温热水贮水时间,T2=1d; ? ? ? ? ? ? ? T3——低温热水贮水时间,T3=0.25~0.30h; ? ? ? ? ? ? ? th——贮水温度(℃),th=80℃~90℃; ? ? ? ? ? ? ? Qγh——设计小时热水量(L/h)。 ??????? 2)采用贮热、供热合一的低温水箱的直接供应热水系统时,热水箱总容积应按下式计算: ![]() ??????? 3)采用贮热水箱贮存热媒水的间接供应热水系统时,贮热水箱总容积应按下式计算: ![]() ? ? ? ? ? ? ? ——热媒水间接换热被加热水时,热媒供、回水平均温度差;一般可取热媒供水温度tmc=80℃~90℃, =25℃。??????? 4)电热机组的功率应按下式计算: ![]() ? ? ? ? ? ? ? T4——每天低谷电加热的时间,T4=6h~8h; ? ? ? ? ? ? ? M——电能转为热能的效率,M=0.98。 6.5.12 设有高位加热贮热水箱连续加热的热水供应系统,宜设置高位冷水供水箱供水和补水。高位冷水水箱的设置高度(以水箱最低水位计算)应保证最不利处的配水点所需水压。 6.5.13 闭式热水供应系统的冷水补给水管的设置除应符合本标准第6.3.7条的要求外,尚应符合下列规定: ??? 1 冷水补给水管的管径应按热水供应系统总干管的设计秒流量确定; ??? 2 有第一循环的热水供应系统,当第一循环采用自然循环时,冷水补给水管应接入贮热水罐,不应接入第一循环的回水管、热水锅炉或热水机组。 6.5.14 热水箱应加盖,并应设溢流管、泄水管和引出室外的通气管。热水箱溢流水位超出冷水补水箱的水位高度应按热水膨胀量计算。泄水管、溢流管不得与排水管道直接连接。 6.5.15 水加热设备和贮热设备罐体,应根据水质情况及使用要求采用耐腐蚀材料制作或在钢制罐体内表面衬不锈钢、铜等防腐面层。 6.5.16 水加热器的布置应符合下列规定: ??? 1 导流型容积式、半容积式水加热器的侧向或竖向应留有抽出加热管束或盘管的空间; ??? 2 导流型容积式、半容积式水加热器的一侧应有净宽不小于0.7m的通道,其他侧净宽不应小于0.5m; ??? 3 水加热器上部附件的最高点至建筑结构最低点的净距应满足检修的要求,并不得小于0.2m,房间净高不得低于2.2m。 6.5.17 燃油(气)热水机组机房的布置应符合下列规定: ??? 1 燃油(气)热水机组机房宜与其他建筑物分离独立设置;当机房设在建筑物内时,不应设置在人员密集场所的上、下或贴邻,并应设对外的安全出口; ??? 2 机房的布置应满足设备的安装、运行和检修要求,并靠外墙布置其前方应留不少于机组长度2/3的空间,后方应留0.8m~1.5m的空间,两侧通道宽度应为机组宽度,且不应小于1.0m。机组最上部部件(烟囱除外)至机房顶板梁底净距不宜小于0.8m; ??? 3 机房与燃油(气)机组配套的日用油箱、贮油罐等的布置和供油、供气管道的敷设均应符合有关消防、安全的要求。 6.5.18 设置锅炉、燃油(气)热水机组、水加热器、贮热水罐的房间,应便于泄水、防止污水倒灌,并应有良好的通风和照明。 6.5.19 在设有膨胀管的开式热水供应系统中,膨胀管的设置应符合下列规定: ??? 1 当热水系统由高位生活饮用冷水箱补水时,可将膨胀管引至同一建筑物的非生活饮用水箱的上空,其高度应按下式计算: ![]() ? ? ? ? ? ? ? H1——热水锅炉、水加热器底部至高位冷水箱水面的高度(m); ? ? ? ? ? ? ? ρ1——冷水密度(kg/m3); ? ? ? ? ? ? ? ρr——热水密度(kg/m3),膨胀管出口离接入非生活饮用水箱溢流水位的高度不应少于100mm。 ? ??2 当膨胀管有结冻可能时,应采取保温措施。 ??? 3 膨胀管的最小管径应按表6.5.19确定。 ![]() 6.5.21 在闭式热水供应系统中,应设置压力式膨胀罐、泄压阀,并应符合下列规定: ??? 1 最高日日用热水量小于或等于30m3的热水供应系统可采用安全阀等泄压的措施。 ??? 2 最高日日用热水量大于30m3的热水供应系统应设置压力式膨胀罐;膨胀罐的总容积应按下式计算: ![]() ? ? ? ? ? ? ? ρf——加热前加热、贮热设备内水的密度(kg/m3),定时供应热水的系统宜按冷水温度确定;全日集中热水供应系统宜按热水回水温度确定; ? ? ? ? ? ? ? ρr——热水密度(kg/m3); ? ? ? ? ? ? ? P1——膨胀罐处管内水压力(MPa,绝对压力),为管内工作压力加0.1MPa; ? ? ? ? ? ? ? P2——膨胀罐处管内最大允许压力(MPa,绝对压力),其数值可取1.10?P1,但应校核P2值,并应小于水加热器设计压力; ? ? ? ? ? ? ? Vs——系统内热水总容积(m3)。 ?? ?3 膨胀罐宜设置在水加热设备的冷水补水管上或热水回水管上,其连接管上不宜设阀门。 条文说明 6.5.1 本条对水加热设备提出三点基本要求: ??? 1 本款是对水加热设备的主要性能——热工性能提出一个总的要求。作为一个水加热换热设备,其首要条件当然应该是热效率高,换热效果好,节能。具体来说,对于热水机组其燃烧效率一般应在85%以上,烟气出口温度应小于200℃,烟气黑度等应满足消烟除尘的有关要求。对于间接加热的水加热器在保证被加热水温度及设计流量工况下,当汽-水换热,在饱和蒸汽压力为0.2MPa~0.6MPa时,凝结水出水温度为50℃~70℃的条件下,传热系数K=5400kJ/(㎡·℃·h)~10800kJ/(㎡·℃·h);当水-水换热时,且热媒为80℃~95℃的热水时,热媒温降约为20℃~30℃,传热系数K=2160kJ/(㎡·℃·h)~4320kJ/(㎡·℃·h)。 ??? 另外,提出水加热设备还必须体型小,节省设备用房。 ??? 2 本款规定生活热水侧阻力损失小。生活热水大部分用于沐浴与盥洗,而沐浴与盥洗都是通过冷热水混合器或混合龙头来实施的。其冷、热水压力需平衡、稳定的问题已在本标准第6.3.7条的条文说明中作了详细说明。以往有不少工程因采用不合适的水加热设备出现过系统冷热水压力波动大的问题,耗水耗能使用不舒适;个别工程出现了顶层热水上不去的问题。因此,建议水加热设备热水侧的阻力损失宜小于或等于0.01MPa。 ??? 3 本款对水加热器的安全检修作了规定。水加热设备的安全可靠性能包括两方面的内容,一是设备本身的安全,如不能承压的热水机组,承压后就成了锅炉;间接加热设备应按压力容器设计和加工,并有相应的安全装置。二是被加热水的温度必须得到有效可靠的控制,否则容易发生烫伤的事故。 ??? 构造简单、操作维修方便、生活热水侧阻力损失小是生活用热水加热设备区别其他型式的换热设备的主要特点。 ??? 因为生活热水的源水一般是不经处理的自来水,具有一定硬度,近年来虽有各种物理、化学简易阻垢处理方法,但均不能保证其真正的使用效果。体量大的水加热设备安装就位后,很难有检修的余地,更有甚者,有的水加热设备的换热盘管根本无法拆卸更换,设备不留检修人孔这些都将给使用者带来极大的麻烦,因此,本款特提出此要求。 6.5.2 本条对水加热设备的选用作了规定。 ??? 1 燃油(气)热水机组除应满足本标准第6.5.1条的要求之外,还应具备燃料燃烧完全、消烟除尘、机组水套通大气、自动控制水温、火焰传感、自动报警等功能,机组还应设防爆装置。 ??? 2 以蒸汽、高温水为热媒时,可按下列原则选择水加热器:①热媒供应能力小于设计小时耗热量时,选用导流型容积式水加热器或加大贮热容积的半容积式水加热器;②热媒供应能力大于或等于设计小时供热量时,选用半容积式水加热器;③热媒供应能力大于或等于设计秒流量所需耗热量且系统对冷热水压力平衡稳定要求不高时选用半即热式水加热器。 ??? 3 本款规定了采用电作热源的水加热设备应该设阴极保护等防止结垢的措施保护电热元件。理由是电热元件工作时温度很高,极易将水中钙、镁离子吸附环绕,既降低了电热效率,又易烧坏。采取阴极保护措施后能大大延长电热元件的使用寿命。 6.5.3 本条规定医院的热水供应系统热源机组及水加热设备不得少于2台,当一台检修时,其余各台的总供应能力不得小于设计小时耗热量的60%。 ??? 由于医院手术室、产房、器械洗涤等部门要求经常有热水供应,不能有意外的中断,否则有可能造成医疗事故。因此,医院集中热水供应系统的热源机组及水加热设备不得少于2台,以保证一台设备检修或故障时,还有一台继续运行,不中断热水供应。 6.5.4 医院建筑不得采用有冷温水滞水区的水加热设备,因为医院是各种致病细菌滋生繁殖最适宜的地方,带有冷温水滞水区的水加热器,其滞水区的水温一般在20℃~30℃之间,是细菌繁殖生长最适宜的环境,国外早已有从这种带滞水区的容积式水加热器中发现致人体生命危险的军团菌的报道。因此,医院等病菌滋生繁殖较严重的地方,不得采用带冷温水滞水区的水加热器。国内近十多年来研发成功的半容积水加热器,运行时无冷温水滞水区是医院等建筑集中热水系统的合理选用设备。 6.5.5 本条对局部热水供应设备作了规定。 ??? 1 本款为选择局部加热设备的总原则。首先要因地制宜按太阳能、燃气、电能等热源来选择局部加热设备,另外还要结合建筑物的性质、使用对象、操作管理条件、安装位置、采用燃气与电热水器时的安全装置等因素综合考虑。 ??? 2 需同时供给2个及2个以上卫生器具或设备热水时,宜选用带贮热容积的加热设备;选用电热水器时应带贮热容积以减少热源的瞬时负荷。如果完全按即热即用没有贮热容积调节选用设备时,则供一个q=0.15L/s的标准淋浴器当冷水温度为10℃时的电热水器连续使用时其功率约为18kW,显然,作为局部热水器供多个器具同时用,没有调贮容积是很不合适的。 6.5.6 本条为强制性条文,必须严格执行。特别强调采用燃气热水器和电热水器的安全问题。国内发生过多起燃气热水器漏气中毒致人身亡的事故,因此,选用这些局部加热设备时一定要按其产品标准,相关的安全技术通则,安装及验收规程等中的有关要求进行设计。住宅的燃气热水器应设置在厨房或厨房相连的阳台内。 6.5.7 本条规定水加热器的加热面积的计算公式,该公式是计算水加热器的加热面积的通用公式。 ??? 式(6.5.7)中ε是考虑由于水垢等因素影响传热系数K值的附加系数。从调查资料看,水加热器结垢现象比较严重,在无简单、行之有效的水处理方法的情况下,加热管束要避免水垢的产生是很困难的,结垢的多少取决于水质及运行情况。由于水垢的导热性能很差水垢的导热系数为2.2kJ/(㎡·℃·h)~9.3kJ/(㎡·℃·h),因而水加热器往往受水垢的影响导致其传热效率的降低。因此,在计算水加热器的传热系数时应附加一个系数。 ??? ε取值为0.6~0.8是引用国外的资料。 6.5.8 本条规定了热媒与被加热水的计算温度差的计算公式。 ??? 1 导流型容积式水加热器、半容积式水加热器的计算温度差是采用算术平均温度差计算的。因导流型容积式水加热器和半容积式水加热器中的水温是逐渐、均匀地升高,即加热盘管设置在加热器的底部,冷水自下部受热上升,经传导、对流循环使水加热器内的水全部加热,同时这两种水加热器均有一定的调节容积,计算温度差粗略一点影响不大。 ??? 2 快速式水加热器、半即热式水加热器的计算温度差是采用平均对数温度差的计算公式。因快速式水加热器主要是靠对流换热,换热时水在加热器内是不停留的、无调节容积,因此,加热器的计算温差应较精确计算。 ??? 对快速水加热器计算式(6.5.8-2)的说明:快速水加热器有逆流式和顺流式两种换热工况,前者比后者换热效果好,因此生活热水采用的快速水加热器或半即热式水加热器基本上均采用如图6所示的逆流式换热。 ??? 式(6.5.8-2)中的△tmax(热媒与被加热水在水加热器一端的最大温度差)与△tmin(热媒与被加热水在水加热器另一端的最小温度差)如图6所示。 ![]() 图6 快速水加热器水加热工况示意 6.5.9 本条规定了热媒的计算温度。热媒的初温和终温是决定水加热器加热面积大小的主要因素之一,从热工理论上讲,饱和蒸汽温度随蒸汽压力不同而相应改变。 ??? 当蒸汽压力(相对压力)小于或等于70kPa时,蒸汽压力和蒸汽温度变化情况见表6。 表6 蒸汽压力和蒸汽温度变化表蒸汽压力(相对压力)≤70kPa时 ??? 当蒸汽压力大于70kPa时,蒸汽压力(相对压力)和蒸汽温度变化情况见表7。![]() 表7 蒸汽压力和蒸汽温度变化表蒸汽压力(相对压力)>70kPa时 ??? 从以上数据可知,当蒸汽压力小于70kPa时,其温度变化差值不大,而且在实际应用时,为了克服系统阻力将蒸汽送至用汽点并保证一定的压力,一般蒸汽压力都要保持在30kPa~40kPa,这时的温度为106.56℃和108.74℃,与100℃的差值仅为6℃~8℃,对水加热器的影响不大。为了简化计算,统一按100℃计算。![]() ??? 当蒸汽压力大于70kPa时,蒸汽温度应按饱和蒸汽温度计算,因高压蒸汽热焓值高,若也取100℃为计算蒸汽温度,则计算加热面积偏大造成浪费。 ??? 当热媒为热力管网的热水,应按热力管网供、回水的最低温度计算的规定,是考虑最不利的情况,如北京市的热力网的供水温度冬季为70℃~130℃;夏季为40℃~70℃。 ??? 本条对热媒初温、终温的计算作出了较具体的规定。本条中推荐的热媒为饱和蒸汽与热水时的热媒初温、终温的参数,来源于RV系列导流型容积式水加热器、HRV系列半容积式水加热器、SW和WW系列浮动盘管半即热式水加热器等产品经热工性能测定的实测数据,可在设计计算中采用。 6.5.10 水加热设备设置贮存调节容积是为了保证系统达到设计小时流量与设计秒流量用水时均能平稳供给所需温度的热水。即系统的设计小时流量与设计秒流量是由热媒在这段时间内加热的热水量与贮热容器已贮存的热水量两者联合供给的。不同结构型式和加热工艺的水加热设备,其有效贮热容积部分大致可以分为下列两种情况: ??? (1)U型管式导流型容积式水加热器(如图7所示),在U型盘管外有一组导流装置,初始加热时,冷水进入水加热器的导流筒内被加热成热水上升,继而迫使水加热器上部的冷水返下形成自然循环,逐渐将水加热器内的水加热。随着升温时间的延续,当水加热器上部充满所需温度的热水时,自然循环即终止。此时,位于U型管下部的水虽然经循环已被加热,但达不到所需要的温度,按热量计算,容器的有效贮热容积约为80%~90%。 ![]() 图7 导流装置的容积式水加热器工作原理示意图 ??? 浮动盘管为换热元件的立式导流型容积式水加热器的盘管靠底布置时,有效贮热容积约为90%~95%。 6.5.11 本条规定了水加热设施的贮热量。 ??? 1 水加热设施的贮热量,理应根据日热水用水量小时变化曲线设计计算确定。由于目前很难取得这种曲线,所以设计计算时应根据热源品种,热源充沛程度、水加热设备的加热能力,以及用水均匀性、管理情况等因素综合考虑确定。 ??? 2 本标准表6.5.11划分为以蒸汽和95℃以上的热水为热媒及以小于或等于95℃热水为热媒两种换热工况,分别计算贮热量。 ??????? (1)汽-水换热的效果要比水-水换热效果优越得多,相同换热面积的条件下,其换热量前者可为后者的3倍~9倍。当热媒水温度高时与汽-水换热差距小一点,当热媒水温度低时(如有的热网水夏天供70℃左右的水),则与汽-水换热差距大于10倍。在这种热媒条件差的条件下,本标准表6.5.11中导流型容积式水加热器、半容积式水加热器的贮热量值已为最低值。 ??????? (2)从传统型容积式水加热器的升温时间及国内导流型容积式水加热器、半容积式水加热器实测升温时间来看(见表8),本标准表6.5.11中“小于或等于95℃”热水为热媒时贮热量参数是合理的。 表8 水加热器升温时间 ??? 此外,从表8可看出,传统的容积式水加热器(采用两行程U形管为换热元件的容积式水加热器)的换热能力远低于其他三种设备,由于它传热效果差,耗能、耗材、占地大,因此此次本标准全面修编时将其删除。![]() ??? 3 本款为非传统热源(太阳能、水源热泵、空气源热泵)热水供应系统的贮热量计算方法。 6.5.14 该条对热水箱配件的设置作了规定。热水箱加盖板是防止空气中的尘土、杂物污染水体,并避免热气四溢。泄水管是为了在清洗、检修时泄空,将通气管引至室外是避免热气溢在室内。 6.5.15 水加热设备、贮热设备贮存有一定温度的热水,水中溶解氧析出较多,当其采用钢板制作时,氧腐蚀比较严重,易恶化水质和污染卫生器具。这种情况在我国以水质较软的地面水为水源的南方地区更为突出。因此,水加热设备和贮热设备宜根据水质条件采用耐腐蚀材料(如不锈钢、铁素体不锈钢、不锈钢复合板)等制作或衬不锈钢、铜等防腐面层。当水中氯离子含量较高时宜采用钢板衬铜,或采用316L不锈钢、444铁素体不锈钢。衬面层时应注意两点,一是面层材质应符合现行有关卫生标准的要求,二是衬面层工艺必须符合相关规定,保证面层与母体结合密实牢固。 6.5.19 本条对膨胀管的设置作了具体规定。 ??? 设有高位冷水箱供水的热水系统设膨胀管时,不得将膨胀管返至高位冷水箱上空,目的是防止热水系统中的水体超温膨胀时,将膨胀的水量返至生活用冷水箱,引起该水箱内水体的热污染。解决的办法是将膨胀管引至其他非生活饮用水箱的上空。因一般多层、高层建筑大多有消防专用高位水箱,有的还有中水水箱等,这些非生活饮用水箱的上空都可接纳膨胀管的泄水。 ??? 为防止热水箱的水因受热膨胀而流失,规定热水箱溢流水位超出冷水补给水箱的水位高度h1应按式(6.5.19)计算,其设置如图8所示。 ? 6.5.20 本条为强制性条文,必须严格执行。膨胀管上严禁设置阀门是确保热水供应系统的安全措施。![]() 图8 热水箱与冷水补给水箱布置 6.5.21 本条式(6.5.21)中水加热器属于压力容器,它的各部件均是按压力容器的设计压力来设计计算的,其设计压力等级为0.6MPa、1.0MPa、1.6MPa、2.5MPa。按式(6.5.21)计算Ve时,P2值应小于水加热器的设计压力,如P2=0.60MPa时应选设计压力为1.0MPa的水加热器。 ??? Vs指系统内热水总容积包括水加热设备的贮热水容积。 |







——热媒水间接换热被加热水时,热媒供、回水平均温度差;一般可取热媒供水温度tmc=80℃~90℃,








